NUIMCrest SE307 - Computation and Complexity Theory
Lab Test 1
Thursday 24 October 2002, 13:00, Lab 4

T Naughton, CS NUIM, Back to SE307 home


Remove everything from your desk except pens/pencils. Paper will be provided. Turn off all computer monitors. Answer all questions. Remember to be mathematically precise in all of your answers. You have until 14:50. You can leave whenever you are finished.

Note: Finite automata are deterministic by default.


Q1 Construct the state diagram for a finite automaton that accepts the language L = {w : wÎ{a,b}*, w is empty or contains an odd number of as}. [2 marks]

Q2(a) Construct the state diagram for the finite automaton M written formally as M = (Q, S, d, q0, F) = ({0, 1, 2, 3}, {a, b}, d, 0, {1}) where d is

Q\S| a b
---------
 0 | 0 0
 1 | 2 1
 2 | 1 1
 3 | 0 1
[2 marks]

Q2(b) What language does the machine in Q2(a) accept? [1 mark]

Q2(c) If we change F to be F={0,1} in the machine in Q2(a), what language does it accept now? [1 mark]

Q3 Describe the language accepted by the finite automaton M = (Q, S, d, q0, F) = ({00, 01, 99}, {0, 1}, d, 00, {99}) where d is

Q\S |  0  1
-----------
 00 | 01 00
 01 | 99 01
 99 | 99 99
[2 marks]

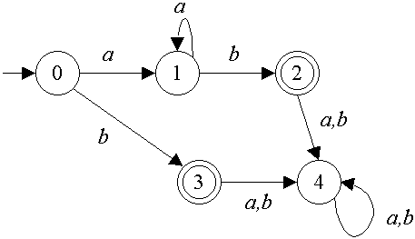
Q4 The state diagram of finite automaton M is given below. Write out the first six words in the lexicographical ordering of the language accepted by M.

[2 marks]

Q5 Let finite automaton M be written formally as M = (Q, S, d, q0, F) = ({00, 01, 99}, {a, b}, {((00, a), 00), ((00, b), 99), ((01, a), 00), ((01, b), 01), ((99, a), 00), ((99, b), 99)}, 00, {99}). Construct a table of behaviour of a Turing machine within which the transition function d of M is embedded. State clearly the starting state and accepting states of the resulting Turing machine. [2 marks]