NUIMCrest CS403/SE307/CS355 - Theory of Computation
Selected sample solutions to Test 2 (A & B)
Tuesday 30 November 2004, 10:00, Lab 4

T Naughton, CS NUIM


QB1 Ma accepts an infinite amount of words.

QB2 Mb accepts exactly one word.

QB3

S  -> A1
A  -> A1 | 0A1 | e

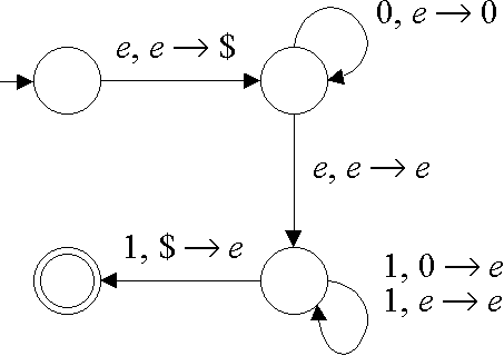
QB4
 PDA Figure