NUIMCrest CS403/SE307/CS355 - Theory of Computation
Selected sample solutions to Test 1 (A & B)
Tuesday 09 November 2004, 10:00, Lab 4

T Naughton, CS NUIM


QA1 111

QA2
./images/cs3552004test01solutionA02.png

QA3 L(Ma) = { w : w  in {0,1}*, w begins with a 1}

QA4 1(0  union 1)*

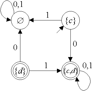
QA5
./images/cs3552004test01solutionA05.png

QA6 (1*01*01*)*11

QA7
./images/cs3552004test01solutionA07.png

QA8 e  union 0  union 1  union (01  union 10)(0  union 1)*

QA9 (e  union 1  union 11)(01  union 011  union 0)*

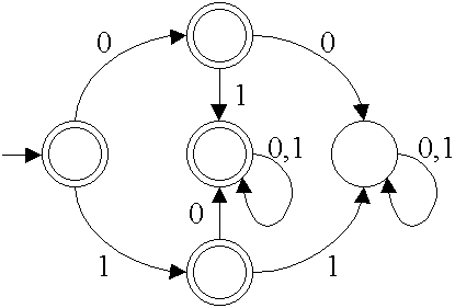
QA10
./images/cs3552004Machine4_8bsolution.png

QA11 (L1*)  concatenate L2 = {e, 0, b, 10, aa, b0, bb, aa0, aab, b10, ...}

QB1 010

QB3 L(Ma) = { w : w  in {a,b}*, w ends with an a}

QB4 (a  union b)*a

QB6 1*01*0(0  union 1)*11

QB8 e  union 0  union 1  union (00  union 11)(0  union 1)*

QB9 0(00)*  union (0  union 1)*1(00)*

QB11 (L1*)  concatenate L2 = {e, 1, a, 00, a1, aa, ab, a00, aa1, aaa, ...}