Sample solutions for selected problems on Lab Sheet 4

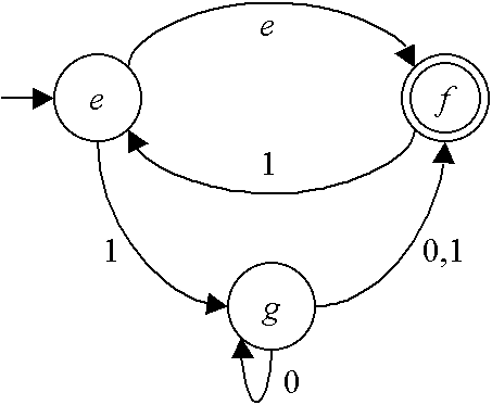
Machine 4.9 Use the same sequence of steps to construct an equivalent FA for the following NFA. (Do not remove the states that will never be entered. Do not simply figure out the language and write the FA from scratch.)

Solution The following FA would be constructed if the sequence of steps was followed.

Although it wasn't asked in the question, if one was asked to remove unused states (states that cannot be reached from the starting state) then this would be the result.