Solutions for quiz of Lab Sheet 4

Machine 4.QA Use the sequence of steps to construct an equivalent FA for the following NFA. Do not remove states that will never be entered. Do not simply figure out the language and write a FA from scratch.

Machine 4.QB Use the sequence of steps to construct an equivalent FA for the following NFA. Do not remove states that will never be entered. Do not simply figure out the language and write a FA from scratch.

Solution The solution to 4.QA is

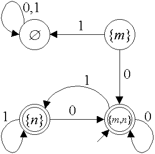
The solution to 4.QB is