Sample solution for quiz of Lab Sheet 3

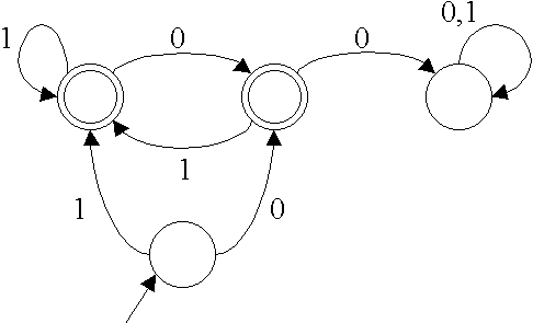
Machine 3.Q Let L = {w : w  in {0, 1}*, w does not contain 00 and is not empty}.

Solution One possible solution to (i) is 0  union (1  union 01)(1  union 01)*(0  union e). Another possible solution is (0  union 1)(10  union 1)*.

One possible solution to (ii) is